【一区家族】320种园艺植物NF-Y基因家族大规模比较与进化分析(一区二群是什么)
一、文章基本信息
在线发表时间:2025年 11月12日
第一单位:海南大学热带农林学院,中国海口
通讯作者:Rui Dong
文章题目:对320种园艺及其他植物中核因子-Y转录因子的大规模比较分析
发表期刊:Horticulture Research (牛津大学出版社)

二、摘要
核因子-Y(NF-Y)是进化上保守的异源三聚体转录因子,存在于所有真核生物中。该家族由NF-YA、NF-YB和NF-YC亚家族组成,在植物生长和发育中起着关键作用。虽然早期研究主要集中于单个植物物种内NF-Y的功能和进化特征,但对该基因家族在主要植物谱系间的大规模分析和进化模式仍知之甚少。本研究从320种园艺及代表性植物物种中,系统鉴定了15,392个NF-Y家族非冗余基因。我们的研究结果表明,该基因家族起源于轮藻植物。在苔藓植物、蕨类植物和裸子植物中,分散复制是NF-Y基因扩张的主要模式;而在被子植物中,其扩张由全基因组/节段复制、分散复制和串联复制共同驱动。保守基序分析显示,在八个代表性植物物种的每个NF-Y亚家族中都存在高度保守的基序。然而,一些高等植物的NF-Y基因表现出基序缺失,表明其在进化历程中存在序列变异。在多种条件下(包括激素处理、非生物/生物胁迫以及不同发育阶段)对拟南芥NF-Y基因的转录组谱分析揭示了其功能的多样性。此外,在拟南芥中构建了一个包含36个NF-Y基因、2,473个下游基因和261个上游基因的相互作用网络。富集分析揭示了NF-Y基因与其他转录因子的相互作用,特别是Myb DNA🧬结合家族和APETALA2(AP2)家族的转录因子,它们在上游和下游调控基因中持续富集。本研究首次对NF-Y基因的进化动态进行了全面且大规模的研究,涵盖了从基础藻类到高级园艺植物的类群,从而为其进化和谱系特异性扩张提供了新的见解。
三、主要结果
图1
介绍了对320种植物物种NF-Y基因家族的比较研究概览。图1a展示了320个物种的分类,包括园艺植物(水果、蔬菜、观赏植物、药用植物、饮料和香料)以及其他代表性物种,突出了研究对象的高度多样性和代表性。b至g部分通过多种度量指标(如NF-Y蛋白长度与基因组平均蛋白长度的比值、NF-Y基因数量与蛋白质编码基因总数的比值、NF-Y基因数量的log2值、总蛋白质编码基因数量的log10值、物种分类学信息及拉丁名缩写)综合呈现了NF-Y基因在不同物种中的分布特征。这些可视化分析直观揭示了NF-Y基因家族在植物界的广泛存在,并为进一步分析其进化与功能提供了数据基础。研究表明,超过70%的物种为园艺植物,说明此项研究对园艺作物研究具有重要参考价值。

图2
详细比较了不同植物类群间NF-Y基因家族的分布。图2a-d以箱线图形式展示了不同类别植物(如藻类、苔藓植物、单子叶植物、双子叶植物等)中NF-Y基因数量的分布情况,揭示了陆地植物相对于藻类物种在NF-Y基因拷贝数上的显著扩张。图2e-h则以条形图比较了代表性植物中NF-Y基因数量与蛋白质编码基因总数的比例(以-log10比值表示),橙色和绿色分别标识了该比例最高和最低的十个物种。结果显示,NF-Y基因数量最丰富的物种均为高等植物(主要为双子叶植物),而比例最低的物种多为藻类。这些对比分析清晰地展现了NF-Y基因家族在植物从水生到陆生、从简单到复杂的进化过程中经历的扩张事件。

图3
描述了基于320个物种15,392个NF-Y序列构建的系统发育分析,其结果如图3所示。系统发育树将NF-Y成员分为三个主要类别:NF-YA、NF-YB和NF-YC,这与已知的亚家族分类一致。在每个亚家族中,大多数分支都包含了来自不同植物类群的NF-Y基因,其中来自藻类植物的基因位于系统发育树的根部。有趣的是,NF-YA和NF-YB亚家族中的某些分支仅包含单子叶植物或双子叶植物的基因,并且这些谱系显示出清晰的系统发育分离。这种模式表明,在物种分化之后,NF-Y基因在每个谱系内部独立进化。这项分析为理解NF-Y基因家族的整体进化关系以及各亚家族在不同植物谱系中的分化历史提供了重要的框架。

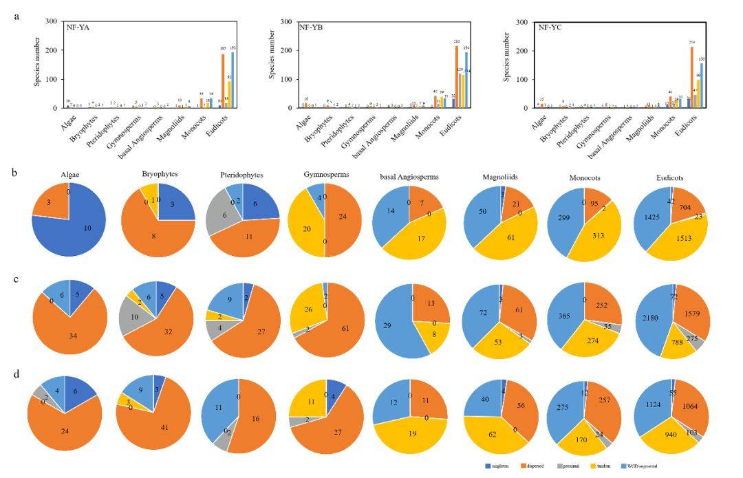
图4
探讨了NF-Y基因家族在不同植物类群中的复制类型及其在进化扩张中的作用。图4a统计了不同分类群中拥有各种复制模式的物种数量。b-d图则分别展示了NF-YA、NF-YB和NF-YC亚家族基因在不同分类群中相对于总复制事件的比例。分析结果表明,NF-Y基因的扩张机制在不同植物类群中存在显著差异。在藻类、苔藓植物和蕨类植物中,分散复制是NF-Y基因扩张的主要驱动力。而在基底部被子植物、木兰类植物、单子叶植物和双子叶植物中,扩张主要由全基因组/节段复制、分散复制和串联复制共同驱动。值得注意的是,在所有NF-Y亚家族中,近端复制类型的基因相对较少,表明该机制在NF-Y家族扩张中作用较小。这些发现揭示了NF-Y家族在植物进化过程中扩张机制的动态变化。

图5
利用Notung软件分析了代表性物种中NF-Y基因的丢失和获得事件,以阐明其进化轨迹。图5a涵盖了从绿藻到单子叶植物的17个代表性物种,展示了谱系特异的基因丢失(“-”表示)和获得(“+”表示)事件。系统发育重建揭示了植物进化过程中存在多次独立且显著的NF-Y基因丢失/获得事件。例如,三个绿藻物种的共同祖先丢失了32个基因,仅获得2个基因;而苔藓植物与其他陆地植物的共同祖先谱系获得了17个基因,仅丢失1个。尽管陆地植物经历了广泛的全基因组复制事件,但在大多数代表性物种中,NF-Y基因的丢失数量仍超过获得数量(图5a)。图5b则专门针对21个代表性双子叶植物基因组进行了类似分析,进一步证实了基因丢失和获得的频率在物种间存在差异。这些结果表明,NF-Y基因家族大小的剧烈变化是由谱系特异性的进化过程驱动的。

图6
对八个代表性植物物种(从绿藻到模式植物)的NF-Y基因进行了综合分析,包括系统发育、保守基序和基因复制事件。图6整合了这些分析结果。系统发育重建基于蛋白质序列,利用最大似然法进行。保守基序分析通过MEME软件鉴定出20个特定基序(motif 1-20)。这些基序的类型和位置在不同NF-Y亚家族中大体一致,与其系统发育关系相符。NF-YA蛋白最保守,包含九个基序;NF-YC蛋白最多样,最多包含13个基序。某些基序(如motif 1)是NF-YB和NF-YC亚家族共有的,而motif 4和8则是NF-YA亚家族独有的。研究还观察到基序在进化过程中存在丢失现象,特别是在低等植物和某些特定物种中,提示序列和功能可能发生分化。此外,图中还标注了基因的复制类型(如分散、串联、WGD/节段复制),揭示了不同谱系中驱动NF-Y基因多样化的潜在机制。

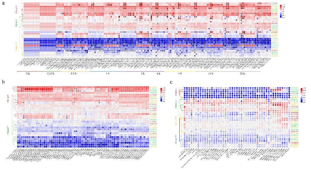
图7
基于拟南芥eFP数据库的数据,分析了NF-Y基因在多种条件下的表达谱。图7a展示了在非生物胁迫(如干旱、盐、冷、热等)下,NF-Y基因在地上部和根部多个时间点的绝对表达量热图。聚类分析揭示了三种不同的表达模式,其中Cluster I的基因在大多数胁迫条件下表达量较高。图7b展示了在27种不同生物胁迫实验条件下NF-Y基因的表达模式,基因被聚类为两大组,Cluster I的基因在应对生物胁迫时通常表达升高。图7c则展示了NF-Y基因在不同发育阶段(如幼苗、开花、种子发育)和多种组织器官(如叶、根、花、种子、角果)中的表达谱。聚类分析显示四个主要群组,一些NF-YB亚家族基因(如AT2G13570和AT5G47670)在特定生殖组织(如雄蕊、花粉、发育中的角果)中表现出高表达,暗示其在生殖发育中的潜在作用。这些表达谱分析为理解NF-Y基因在胁迫响应和生『长发』育中的功能多样性提供了重要线索。

图8
旨在阐明拟南芥中NF-Y基因家族的调控机制,通过iGRN数据库构建了包含上游调控因子、下游靶基因及其相互作用的调控网络。图8a使用Gephi软件可视化了这一包含3500个基因对的相互作用网络,节点代表基因,边代表调控关系。图8b以条形图展示了每个NF-Y基因所关联的上游调控因子和下游靶基因的数量,显示了不同NF-Y成员调控广度的巨大差异(例如,NF-YB成员AT4G14540调控最多下游靶基因)。图8c通过韦恩图展示了上游调控因子和下游靶基因集合中特异和共享的NF-Y基因,发现68个基因同时扮演上游调控因子和下游靶基因的双重角色,暗示存在反馈调控回路。图8d-g则展示了功能富集分析结果。d图揭示了上游调控因子显著富集于AP2、Myb DNA🧬结合等转录因子家族结构域;而下游靶基因则富集于与胚胎发育、种子萌发等关键发育转变相关的蛋白结构域(如Hydrophob_seed、F-box)。e-g图的GO富集分析进一步表明,上游基因主要参与转录调控,下游基因则与代谢过程相关,共同基因则富集于DNA🧬结合等核内功能。

图9
描述了一个实验验证,旨在确认拟南芥中ERF115转录因子对NF-YB2(At5g47640)的调控作用。图9a展示了典型的双荧光素酶报告基因检测结果:与阴性对照(共表达ERF115-LUC与空载体62SK)相比,在烟草叶片中共表达ERF115-LUC和NF-YB2-62SK质粒后,观测到显著更强的LUC发光信号。对照组(LUC + 62SK 和 NF-YB2-SK + LUC)之间未观察到显著差异。图9b以柱状图形式量化了相对LUC/REN活性,并进行了统计分析(邓肯多重比较检验,P < 0.05),不同字母表示存在统计学显著差异。这些结果共同证明,ERF115在体内正向调控NF-YB2的表达,揭示了NF-Y与ERF基因家族之间存在直接的调控相互作用,为理解NF-Y在乙烯信号通路等相关生物学过程中的调控网络提供了实验证据。

四、总结
本研究对涵盖320个物种(包括大量园艺作物)的NF-Y转录因子家族进行了大规模、系统性的比较基因组学和进化分析。研究系统鉴定了15,392个NF-Y基因,并揭示了该家族起源于轮藻植物。进化扩张机制具有谱系特异性:在苔藓植物、蕨类植物和裸子植物中以分散复制为主;而在被子植物(特别是双子叶和单子叶植物)中,则主要由全基因组/节段复制、分散复制和串联复制共同驱动。保守基序分析显示了亚家族间的保守性和进化过程中的基序丢失,提示功能分化。通过拟南芥转录组数据分析,揭示了NF-Y基因在多种非生物/生物胁迫、激素处理及不同发育阶段/组织中具有多样化的表达模式,表明其广泛参与植物生『长发』育和胁迫响应。进一步构建的调控网络及功能富集分析,揭示了NF-Y与AP2、Myb等重要转录因子家族的互作关系,并通过双荧光素酶实验验证了ERF115对NF-YB2的正向调控。这项研究首次在如此广泛的植物谱系范围内解析了NF-Y家族的进化动态、扩张机制和潜在调控网络,为理解该家族的功能多样性提供了全面的进化框架和重要的基因组资源,对园艺作物的功能基因组学研究和分子育种具有指导意义。










