用于生物正交化学的功能性磷脂分子,DSPE-PEG4-TCO,磷脂-四聚乙二醇-反式环辛烯(生物正交反应的应用)
相关参数:
中文名称:磷脂-四聚乙二醇-反式环辛烯
英文名称:DSPE-PEG4-TCO
分子量:0.4k,0.6k,1k,2k,3.4k,5k,10k,20k
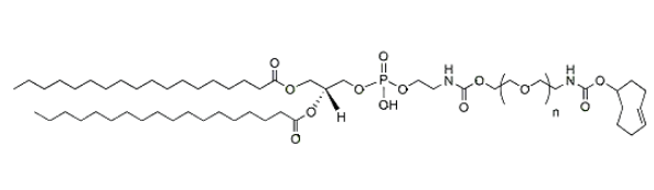
结构式:

外观:固体/粉末
纯度:95%,详情可在线咨询
保存建议:需要存储在-20°C,避光,避湿的环境。
产品介绍:
DSPE-PEG4-TCO 是一种用于脂质体修饰和生物正交化学的功能性磷脂分子。DSPE-PEG4-TCO(磷脂-四聚乙二醇-反式环辛烯)作为一种集脂质锚定、亲水间隔与生物正交反应活性于一体的多功能分子,凭借其独特的结构设计与高效的反应特性,为解决上述挑战提供了创新性的解决方案。DSPE-PEG4-TCO的分子结构由三个核心部分组成,各部分功能明确且相互协同:
DSPE(二硬脂酰基磷脂酰乙醇胺):作为疏水锚定段,DSPE的双长链饱和脂肪酸(C18:0)可稳定嵌入脂质双层膜(如细胞膜、脂质体或纳米颗粒表面),为分子提供牢固的物理附着点。其自组装特性使其能自发形成胶束或脂质体结构,为疏水药物提供负载空间。
PEG4(四聚乙二醇):作为亲水间隔臂,PEG4通过柔性链结构提供优良的水溶性和生物相容性。其空间位阻效应可显著降低分子表面的非特异性吸附,减少免疫原性,延长载体在血液循环中的滞留时间。此外,PEG4的短链设计使TCO基团更靠近载体表面,适用于能量转移(如FRET)或微环境敏感型实验。
TCO(反式环辛烯):作为生物正交反应端,TCO的高张力烯烃结构可与四嗪(Tetrazine)发生逆电子需求Diels-Alder(IEDDA)反应。该反应无需金属催化剂,速率极快(秒级完成),且在复杂生物环境中具有高度特异性,避免了非靶向标记的干扰。

同类型相关试剂:
DSPE-PEG-RGD
DSPE-PEG-NHS
DSPE-PEG-Mal
DSPE-PEG-Biotin
DSPE-PEG-FITC
DSPE-PEG-NH2
DSPE-PEG-COOH
DSPE-PEG-Methoxy
DSPE-PEG-SH
DSPE-PEG-FA
DSPE-PEG-OH
DSPE-PEG-Galactose
DSPE-PEG-Cholesterol
DSPE-PEG-TK-CHO
DSPE-PEG-DBCO
DSPE-PEG-N3
DSPE-PEG-PDP
DSPE-PEG-PEI
DSPE-PEG-AC
上述信息均由西安凯新生物科技的小编小兮所整理










